Variant britannique: symptômes, transmissibilité, immunité... Ce qu'il faut savoir (The Lancet)
Selon une récente étude, les vaccins restent efficaces contre le variant britannique. Certes, plus transmissible, il se manifeste avec les mêmes symptômes. Le protocole de dépistage et de surveillance peut être maintenu.
Publiée le 12 avril sur The Lancet public health, la première étude sur la symptomatologie, les taux de réinfection et de transmissibilité du variant britannique (B.1.1.7), révèle que le protocole de dépistage et de surveillance mis en place pour détecter les cas Covid-19 peut rester inchangé pour le variant et que ce dernier ne modifie pas le risque de réinfection. Autrement dit, “les vaccins sont susceptibles de rester efficaces contre le variant”.
Quant à sa propagation, les résultats de cette étude confirment que le variant B.1.1.7 est, effectivement, plus transmissible mais qu’en période de confinement le Rt tombe en dessous de 1.
Cette étude britannique est basée sur des données relatives à la nature et à la durée des symptômes, obtenues à partir des rapports de 36.509 utilisateurs de l’application “Covid symptom study” qui se sont déclarés positifs, à la suite d’un test entre le 28 septembre et le 27 décembre 2020, “durée au cours de laquelle la prévalence du variant britannique a le plus augmenté, notamment dans certaines parties du Royaume-Uni”, souligne l’étude.
Cette dernière vise à apporter des éléments aux pays où le variant B.1.1.7 commence à peine à s'installer, afin de leur permettre de mettre en place les réponses efficaces de santé publique.
Au Maroc, rappelons-le, 115 cas confirmés et 1.500 quasi-confirmés du variant britannique ont été annoncés par le Chef du gouvernement ce lundi 12 avril 2021.
"L’immunité construite par la vaccination peut être efficace contre le variant"
Nul besoin de changer le protocole de dépistage, ni la durée d’isolement car les résultats de cette étude montrent que la contamination au variant britannique ne se présente pas avec de nouveaux symptômes et la durée de leur manifestation est similaire aux variants pré-existants.
Les vaccins développés et utilisés dans le monde restent également efficaces contre le variant, car les chercheurs britanniques concluent, en analysant les cas de 249 personnes sur les 36.509 utilisateurs de l’application "Covid Symptom Study", qu’il n’y a “pas de corrélation entre le taux de réinfection et le variant”. Ce dernier “ne modifie pas le risque de réinfection”.
En effet, le taux de réinfection n'est modifié ni en fonction de la région ni en fonction du temps. "Ce qui est cohérent avec l’hypothèse, selon laquelle la réinfection n’est pas plus probable, dans le contexte du variant B.1.1.7. Cela peut signifier que, si une immunité adéquate est construite pendant la première infection, elle pourrait être suffisante pour se protéger contre la réinfection en présence du variant B.1.1.7”, indique l'étude qui y voit "un signe positif", puisque "l’immunité construite par la vaccination contre les variants préexistants pourrait également être efficace contre le variant B.1.1.7”.
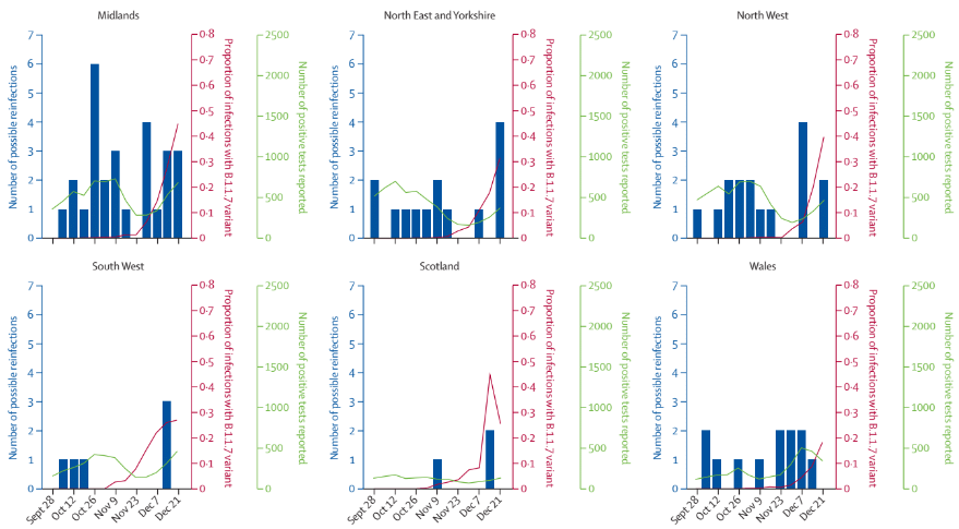
Dans la figure ci-dessous, publiée dans l'étude britannique, les barres bleues indiquent le nombre de possibles réinfections rapportées chaque semaine, dans différentes régions du Royaume-Uni. Les courbes montrent le nombre total de tests positifs signalés, via l'application "Covid Symptom Study" (en vert) et la proportion d'infections avec le variant B.1.1.7, durant la même période (en rose).
Ces données conduisent les chercheurs à conclure que "les occurrences de réinfection étaient plus corrélées, avec l'augmentation régionale globale des cas qu'avec l'augmentation régionale de la proportion d'infections avec le variant B.1.1.7". Autrement dit, l'augmentation des cas de contamination au variant n'implique pas une augmentation des cas de réinfection.


Les confinements efficaces contre la propagation du variant
Déjà constaté, à travers de précédentes études auxquelles la présente fait référence, le taux de transmissibilité du variant britannique est effectivement plus élevé.
"Nous avons constaté une augmentation multiplicative moyenne du Rt, associée au variant B.1.1.7, par un facteur de 1,35 par rapport aux variants préexistants".
Cela dit, ce taux de transmissibilité est tombé en dessous de 1 durant les confinements nationaux (du 5 novembre au 2 décembre 2020 qui était le 2e confinement national du Royaume-Uni, ainsi que le 3e mis en place à partir du 5 janvier 2021).


"Pendant le confinement national, ayant débuté le 5 janvier 2021, nous avons constaté que le Rt était d'environ 0,8 dans les trois régions d'Angleterre dans lesquelles au moins 80% des infections sont dues au variant B.1.1.7".
La figure ci-dessous représente le nombre total des cas dans les 3 régions les plus infectées par le variant, de mi-octobre 2020 (avant le 2e confinement) au 16 janvier 2021 (pendant le 3e confinement).
Comment expliquer la réduction du Rt ? Est-ce dû à une meilleure adhésion au confinement ? Existe-t-il une immunité communautaire suffisante pour le réduire ? Ce sont des pistes proposées par les chercheurs derrière cette étude qui soulignent, par ailleurs, l’importance de les approfondir.
